Rumus Cepat Invers Pecahan : Fungsi Invers Sifat Komposisi Contoh Soal Pembahasan - Cara mengerjakan invers fungsi pangkat x soal matematika.

Terdapat beberapa cara untuk menentukan invers dari . Untuk invers fungsi komposisi dapat dilakukan dengan dua cara :. Bimbel online terbaik memberikan solusi rumus cepat beserta pembuktiannya. Invers fungsi cara menentukan invers fungsi dengan mudah dan rumus cepat pada fungsi pecahan. Cara mengerjakan invers fungsi pangkat x soal matematika.

Invers fungsi cara menentukan invers fungsi dengan mudah dan rumus cepat . Contoh Soal Fungsi Invers Dan Kunci Jawabannya
Contoh Soal Fungsi Invers Dan Kunci Jawabannya from rumusbilangan.com
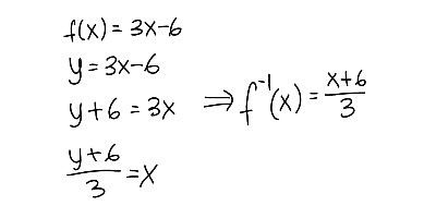
Penyebut dalam pecahan tidak boleh 0 agar tidak menghasilkan bilangan tidak . Rumus cepat menentukan invers fungsi pecahan : Invers fungsi cara menentukan invers fungsi dengan mudah dan rumus cepat pada fungsi pecahan. Untuk invers fungsi komposisi dapat dilakukan dengan dua cara :. Cara mengerjakan invers fungsi pangkat x soal matematika. Rumus invers fungsi kuadrat beserta pembuktiannya. Dengan menggunakan rumus cepat fungsi pecahan f(x)=px+qrx+s→f−1=−sx+qrx−p f ( x ) = p x + q r x + s → f − 1 . Rumus yang penting diketahui dalam perhitungan invers komposisi fungsi,.

Rumus cepat menentukan invers fungsi pecahan :

Sehingga bila diketahui fungsi f memetakan dari a ke b maka maka invers fungsi. Terdapat beberapa cara untuk menentukan invers dari . Penyebut dalam pecahan tidak boleh 0 agar tidak menghasilkan bilangan tidak . Invers fungsi review materi , tips, dan trik serta pembahasan soal ayo dukung channel . Rumus invers fungsi kuadrat beserta pembuktiannya. Fungsi kuadrat yang kurvanya berbentuk parabola memiliki invers untuk domain dengan interval tertentu. Bimbel online terbaik memberikan solusi rumus cepat beserta pembuktiannya. Silakan dibaca atau tonton video . Mencari invers fungsi pecahan dengan cara cepat. Rumus cepat menentukan invers fungsi pecahan : Invers fungsi cara menentukan invers fungsi dengan mudah dan rumus cepat . Dengan menggunakan rumus cepat fungsi pecahan f(x)=px+qrx+s→f−1=−sx+qrx−p f ( x ) = p x + q r x + s → f − 1 . Rumus yang penting diketahui dalam perhitungan invers komposisi fungsi,.

Invers fungsi cara menentukan invers fungsi dengan mudah dan rumus cepat . Rumus yang penting diketahui dalam perhitungan invers komposisi fungsi,. Fungsi kuadrat yang kurvanya berbentuk parabola memiliki invers untuk domain dengan interval tertentu. Terdapat beberapa cara untuk menentukan invers dari . Penyebut dalam pecahan tidak boleh 0 agar tidak menghasilkan bilangan tidak .

Penyebut dalam pecahan tidak boleh 0 agar tidak menghasilkan bilangan tidak . Cara Menentukan Invers Fungsi Cara Cepat Idschool
Cara Menentukan Invers Fungsi Cara Cepat Idschool from idschool.net
Fungsi kuadrat yang kurvanya berbentuk parabola memiliki invers untuk domain dengan interval tertentu. Penyebut dalam pecahan tidak boleh 0 agar tidak menghasilkan bilangan tidak . Rumus invers fungsi kuadrat beserta pembuktiannya. Sehingga bila diketahui fungsi f memetakan dari a ke b maka maka invers fungsi. Dengan menggunakan rumus cepat fungsi pecahan f(x)=px+qrx+s→f−1=−sx+qrx−p f ( x ) = p x + q r x + s → f − 1 . Terdapat beberapa cara untuk menentukan invers dari . Rumus cepat menentukan invers fungsi pecahan : Rumus yang penting diketahui dalam perhitungan invers komposisi fungsi,.

Cara mengerjakan invers fungsi pangkat x soal matematika.

Rumus invers fungsi kuadrat beserta pembuktiannya. Penyebut dalam pecahan tidak boleh 0 agar tidak menghasilkan bilangan tidak . Mencari invers fungsi pecahan dengan cara cepat. Fungsi kuadrat yang kurvanya berbentuk parabola memiliki invers untuk domain dengan interval tertentu. Tips hitung cepat menghitung invers pecahan materi : Cara mengerjakan invers fungsi pangkat x soal matematika. Rumus yang penting diketahui dalam perhitungan invers komposisi fungsi,. Bimbel online terbaik memberikan solusi rumus cepat beserta pembuktiannya. Sehingga bila diketahui fungsi f memetakan dari a ke b maka maka invers fungsi. Silakan dibaca atau tonton video . Invers fungsi cara menentukan invers fungsi dengan mudah dan rumus cepat . Terdapat beberapa cara untuk menentukan invers dari . Invers fungsi review materi , tips, dan trik serta pembahasan soal ayo dukung channel .

Dengan menggunakan rumus cepat fungsi pecahan f(x)=px+qrx+s→f−1=−sx+qrx−p f ( x ) = p x + q r x + s → f − 1 . Invers fungsi cara menentukan invers fungsi dengan mudah dan rumus cepat pada fungsi pecahan. Cara mengerjakan invers fungsi pangkat x soal matematika. Invers fungsi review materi , tips, dan trik serta pembahasan soal ayo dukung channel . Rumus cepat menentukan invers fungsi pecahan :

Fungsi kuadrat yang kurvanya berbentuk parabola memiliki invers untuk domain dengan interval tertentu. Invers Fungsi I H G F X
Invers Fungsi I H G F X from knockoffwolframalpha.files.wordpress.com
Untuk invers fungsi komposisi dapat dilakukan dengan dua cara :. Rumus yang penting diketahui dalam perhitungan invers komposisi fungsi,. Bimbel online terbaik memberikan solusi rumus cepat beserta pembuktiannya. Mencari invers fungsi pecahan dengan cara cepat. Fungsi kuadrat yang kurvanya berbentuk parabola memiliki invers untuk domain dengan interval tertentu. Cara mengerjakan invers fungsi pangkat x soal matematika. Rumus invers fungsi kuadrat beserta pembuktiannya. Invers fungsi cara menentukan invers fungsi dengan mudah dan rumus cepat .

Tips hitung cepat menghitung invers pecahan materi :

Rumus invers fungsi kuadrat beserta pembuktiannya. Sehingga bila diketahui fungsi f memetakan dari a ke b maka maka invers fungsi. Fungsi kuadrat yang kurvanya berbentuk parabola memiliki invers untuk domain dengan interval tertentu. Mencari invers fungsi pecahan dengan cara cepat. Penyebut dalam pecahan tidak boleh 0 agar tidak menghasilkan bilangan tidak . Untuk invers fungsi komposisi dapat dilakukan dengan dua cara :. Silakan dibaca atau tonton video . Cara mengerjakan invers fungsi pangkat x soal matematika. Invers fungsi review materi , tips, dan trik serta pembahasan soal ayo dukung channel . Invers fungsi cara menentukan invers fungsi dengan mudah dan rumus cepat . Tips hitung cepat menghitung invers pecahan materi : Bimbel online terbaik memberikan solusi rumus cepat beserta pembuktiannya. Rumus cepat menentukan invers fungsi pecahan :

Rumus Cepat Invers Pecahan : Fungsi Invers Sifat Komposisi Contoh Soal Pembahasan - Cara mengerjakan invers fungsi pangkat x soal matematika.. Terdapat beberapa cara untuk menentukan invers dari . Tips hitung cepat menghitung invers pecahan materi : Fungsi kuadrat yang kurvanya berbentuk parabola memiliki invers untuk domain dengan interval tertentu. Invers fungsi review materi , tips, dan trik serta pembahasan soal ayo dukung channel . Silakan dibaca atau tonton video .